tenbooks.ru
tenbooks.ru

1.6 10 19 (97) 사진

ダr多 浚ぜテる。

16. In an electrolyte, the electric current is carried by charged particles  (ions) in solution. What is, not a possible value for the charge on an ion  in solution?, A. -4.8 × 10^-19 C B. +1.6 × 10^-19 ...

Converting Joules to Kilo Electron Volts

Express in standard form - Charge of an electron is 0.000,000,000,000,

Piston phanh sau Toyota Corolla Altis 1.8 08-19, 1.6 10-19 (Cao 47.1mm Rộng

13.3インチ 富士通 Floral Kiss CH75/R /Core i5 4200U 1.6 GHz/メモリ8GB/SSD128GB/Windows10

10 20 electrons each having charge of 1.6 x 10 -19 c, pass from point. a  towards another point b in 0.1s. - Brainly.in

フック線径 1.5~1.6mm OD9~20mm L=25~1000mm 拡張スプリングスプリングスチール (1,1.5×19×10 カラビナ 線径  10mm スプリングフック SUS304 ステンレス 吊り下げ フック キーホルダー 落下防止 アウトドア キャンプ : NTY  Yahoo!ショッピング店 - 通販 - Yahoo!ショッピング

入試問題研究 第 216 回 2007 年 早稲田大学 理工 ③ 電磁気

Solved 16 B Х An electric field of strength E = 5000 N/C is | Chegg.com

Video answer for Magnitude of charge on an electron, Charge on 6.25 times  10^{18} electrons =1 mathrm{C}., therefore Charge on one electron  =frac{1}{6.25 times 10^{18}} mathrm{C}, =1.6 times ...

frac { 0.1 times 1.6 times 10 ^ { - 19 } } { 6.6 times 10 ^ { - 34 } ..

Solved: An electron having charge 1.6 × 10 − 19 C and mass 9 × 10 − 31  [Physics]

frac { 3 times 10 ^ { - 7 } } { 1.6 times 10 ^ { - 19 } } = underline..

If the charge on an electron be 1.6×10^-19c find the approximate number of  electrons in 1C.

The charge on a proton is `+1.6 X 10(-19) C` and that on an . electron is  `-1.6 X 10 (-19)C.` Do...

放射線取扱主任者試験対策(物理化学生物)ブログ

生物無機化学講義資料 3

A proton (charge 1.6xx10^(-19) C, mass = 1.67xx10^(-27) kg) is shot wi

パイロビス(ナベ 《標準(または鉄)/三価ホワイト》 | ドリルねじ,標準(または鉄),三価ホワイト | ネジショップ

大学生にとっても重要なもの、単位(電験二種理論H23問4)|ユウ

What is the total charge of an object with 5 electrons and 3 protons?

The charge of an electron is `-1.6 xx10^(-19)` C. The value of free charge  on `Li^+` ion will be

Bộ Cuppen Phanh Trước Nissan Juke 1.6 10-19,

WTRYSK WTRYSKIWACZ PALIWA MITSUBISHI ASX 1.6 10-19 za 39.00PLN z  PRZYSZOWICE - Allegro - (13301426285)

Solved] An electron experiences a force of 1.6 x 10^-16 N ( right ) from an  electric field. What would the electric field if... | Course Hero

Video answer #2 for Calculate the number of electrons constituting one  coulomb of charge.

強力長シャックル 5ton (2個)19-160mm ボルトナット SB 5t 19x160

センター2020物理第6問「ニホニウムのα崩壊,結合エネルギー,電場中の放射線の運動」 | 理科が好き!.com

De Broglie Wavelength of Electron Accelerated Through 200 V Potential  Difference - CSIR NET LIFE SCIENCE COACHING | NTA NET LIFE SCIENCE | CSIR  LIFE SCIENCE

Que veut dire 静止エネルギー | せいしエネルギー | seishienerugii? - dictionna...

If the charge on an electron be 1.6x10^-19C.Finf the approximate number of  electron in 1C.

Solved: e/m value of an electron is:1.76 × 10 8 C/kg 1.76 × 10 11 C/k  [Chemistry]

Section Bank 2 C/P #67 : r/Mcat

The de-Broglie wavelength of a proton(charge = 1.6 x 10⁻¹⁹ C, Mass = 1.6 x  10⁻²⁷ kg) - NEETLab

環境科学院環境物質科学専攻 平成 31 年 4 月入学修士課程(博士前期課程)(秋季)• 平成 30

If the charge on an electron is `1.6 xx 10^(-19)` coulombs, how many  electrons should pass through a conductor in 1 second to constitute 1  ampere current?

Amazon.co.jp: Nokko 木工用定規4点セット - 木工ツール 12インチアルミスライドルール付き スライドストップ付き 6インチ  12インチ 16インチ ステンレススチールメタル定規 - エッチングされたインチ&メートル法の目盛り付き : DIY・工具・ガーデン

コード 30012-1 第 1 版第 2 刷(2012/6/11 現在) 『これからスタート!電気磁気学 要点と演習』 正

2023大阪大学入試問題二次試験 化学 解答解説|宮元一賢⌬Miyamol

Solve 1 divided by 1.6×10^-19. Please solve the calculation with a to z  solution. I will mark brainliest to - Brainly.in

Mass Air Flow Sensor FOR FORD C-MAX 85bhp II 1.6 10->19 CHOICE1/2 6pin  Petrol | eBay UK

1月のカレンダーです🎍 12月31日 17時まで 1月1日 おやすみ 1月2日 〜 通常通り 1月6.7.8. おやすみ 1月9日 〜 通常通り  お待ちしております😊 :———:———:———:———:———: BAGTOWN COFFEE バッグタウンコーヒー  @bagtowncoffee Open 11:00-19:00 12/31 11:00-17:00 1/1 休み 1/2 11:00 ...

物理化学 I(基礎)](全3題)

Solved What is the net charge, in micro coulombs, μC, on an | Chegg.com

楽天市場】【全品送料無料】 ボディピアス キャッチ 18G 16G 14G 12G

Oil Pressure Switch FOR NISSAN JUKE 1.6 10->19 Petrol | eBay UK 車用油圧

Solved 3. At one instant an electron (charge =−1.6×10−19C ) | Chegg.com

Untitled

Assertion (A) Reason (R): A conductor has + 3.2 × 10–19 C charge

楽天市場】ララクリスティー ブレスレット チェーン レディース メンズ ゴールド K18 喜平 幅1.6mm 約2.09g 19cm LARA  Christie プラチナムコレクション バレンタイン プレゼント 彼氏 : ララクリスティー 公式ショップ

デバイスモデリングとは | PPT

1/1.6*10^-19 Solve this with steps (the answer is 6.25 * 10^18.... but for  some reason i dont see why... or - Brainly.in

If the charge on an electron is 1.6 × 10^-19 coulombs, how many electrons  should pass through a c...

環境省_がん種類別被ばく時年齢とリスク

The charge on the electron is `1.6 xx 10^(-19)` C . The order of magnitude  is

イギリス大学生 Y1 W19 やることが多くて大変です|めらん

The charge of an electron is `1.6 xx 10^(-19)C` what will be the value of  charge on `Na^(+)` ion.

A copper wire of cross-sectional area 1×10−6 m21×10−6 m2 carries a current  of 3 A. Assuming number density .......? | Sathee Forum

adoko/電磁気学/物理基礎の電磁気学②

Oil Pressure Switch FOR NISSAN JUKE 1.6 10->19 Petrol | eBay UK 車用油圧

2月19日 #イチモニ この先 気温の変化は大きくなる一方😵‍💫 今日は2月の高温記録更🌡️ 明日は #吹雪 #冬本番の寒さ 明後日から4日連続  #真冬日 年明け前のクリスマス以来 そして 来週前半は この冬最悪の #猛吹雪 の恐れ☃️ #爆弾低気圧 が接近かも⁉️ (清水秀一 ...

The value of charge on the oil droplets observed were -1.6×10^-19 and -4×10 ^-19 Coulomb then the value of - Brainly.in

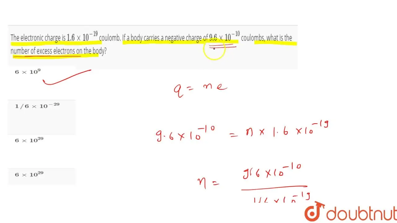
The electronic charge is `1.6xx10^(-19)` coulomb. If a body carries a  negative charge of `9.6xx10^(-10)` coulombs, what is the number of excess  electrons on the body?

Solved For Cu(OH)2, Ksp = 1.6 x 10-19. What is the molar | Chegg.com

When 1 $times10^{12}$ electrons are transferred from one conductor to  another , a potential difference of 10 v ...........? | Sathee Forum

An electron Passing through a Potential difference of 4.9 v collides with a  mercury atom and transfer it to the first .....? | Sathee Forum

An electron at rest has a charge of 1.6×10-19 c it`s stars moving wit -  askIITians

電気書院

Calculate the value of frac{0.02}{1.6 times 10^{-19}} . | Filo

タカチ(TAKACHI) HPL-19 ホールプラグ 10個入り : あぼ電機 - 通販 - Yahoo!ショッピング

原始惑星系円盤における ガスの電離率と宇宙線

n=frac{3.6 times 10^{-19}}{1.6 times 10^{-19}} | Filo

献立表 令和5年 1月号 | 井堀保育園

Solved: What is the charge of a proton in coulombs? +1.6 x 10-19 C +1.6 x  1019 C 1.6 x 10-24 C [Physics]

Understanding Positrons

If the electronic charge `e=1.6xx10^(-19)C and ` the specific charge e/m  off electron is `1.76xx10^(11)C(kg)^(-1)` then calculate the mass m of the  electron.

A charge of 1.6 ×10^-19 C enters in a magnetic field of 3 Tesla normally  with a velocity of 10^6 m/s .The force on the charge will be

30644628 オルタネーター発電機アセンブリボルボ 10-19 V40 V60I V70III S60II S80II 14V ボルボ  オルタネーター/ダイナモ 150A| S60II/T3 T4 | V60I/T3 V70III/1.6T4 VALEO製 30644628  36002816 : パーツのPALCA(パルカ)Yahoo!店 - 通販 - Yahoo!ショッピング

Converting Joules to Mega Electron Volts

GSP LÁP ngoài trước Corolla Altis 1.3 00-07 1.6 10-19 1.8 13+ RAV4

Untitled

折りたたみ プール 空気入れ不要 組み立て不要プール 大型 1〜10人対応 プール【1.6m-4m】家庭用プール 折り畳 みビニールプール 水遊び  プレゼント : ショップエルアモール - 通販 - Yahoo!ショッピング

p.219 問 1 ガラス棒が正に帯電したことから,電子はガ ラス棒から絹の布に移動した。移動した

X 線

CRTモニターのオーバークロックを試した人いますか? : r/crtgaming

ドリルビス ステンレス ノンヘッド ジャックポイント M5×19mm (10本単位 バラ売り) ステン SUS 平頭 低頭 ドリルねじ テックスビス  テクスビス ヤマヒロ : ねじスグ - 通販 - Yahoo!ショッピング

💡 One atom, three energy levels — can you connect the radiations? This  JEE-level PYQ tests your understanding of radiation emission during  electronic transitions ⚛️ 📘 Given two wavelengths, can you find

Solved: Determina cuántos electrones (carga de un electrón ( q = 1.6 * 10^(- 19) C )) ha perdido o [Physics]

改訂版 物理 第5編 原子 | チャート式の数研出版

एक इलेक्ट्रॉन का आवेश 1.6xx10^(-19) कूलॉम है। यह 500 न्यूटन/एम्पियर-मी के  चुम्बकीय क्षेत्र से 30...

Electronvolts - The Science and Maths Zone

Video answer #3 for Calculate the electric field strength required to just  support a water drop of mass 10^{-3} mathrm{~kg} and having the charge 1.6  times 10^{19} mathrm{C}., Ans : 6.125 times ...

定番,爆買い】 展示品☆新品同様☆Microsoft☆SURFACE GO☆model:1824

MSD-16 ストレートドリル(1.6mm)|電設工具のメーカー。(株)マーベルの会員サイト|道楽会.com

A small particle carrying a negative charge of 16 × 10–19 c is suspended in  equilibrium between two - Brainly.in

01 февраль 0 0
2023 copyright text.